太原理工大学2022年各省各专业录取分数线,哪些专业分数线较高?

admin 2025-06-14 137次阅读

太原理工大学位于山西省太原市,创办于1902年,是211、双一流建设大学,学校现有明向、迎西、虎峪、柏林等四个校区,学校现有41个国家级一流本科专业建设点。2022年在全国31个省份招生,一共招收新生8160人,其中54.23%的生源来自山西,河北生源占据4.17%,山东3.92%、山西3.82%、四川2.81%、湖南 2.13%、浙江2.06%、湖北 2.00%。在各省录取分数线如何?哪些专业录取分数线较高呢?

太原理工大学2022年录取分数线_山西太原理工大学各专业录取线_太原理工大学录取分数线

太原理工大学

一、太原理工大学2022年在山西各批次各专业录取分数线

在山西本科一批A段理科类录取分数线最高的专业是电气工程及其自动化(试验班)583分,超控制线85分,其次是计算机科学与技术(试验班)574分,超一本线76分,理科类最低录取分数线为534分,超一本线36分。文科类录取昆理最高的是法学、会计学551分,超一本线34分,录取最低分542分。

山西太原理工大学各专业录取线_太原理工大学2022年录取分数线_太原理工大学录取分数线

太原理工大学2022年在山西各专业录取分数线

地方专项批理科录取分数线最高的专业是计算机科学与技术550分、应用物理学550分、电气工程及其自动化548分,最低491分(矿物加工工程、冶金工程)。文科录取分数线最高的专业是思想政法教育550分,最低的是国际经济与贸易533分。

太原理工大学2022年录取分数线_山西太原理工大学各专业录取线_太原理工大学录取分数线

太原理工大学2022年在山西地方专项批各专业录取分数线

国家专项理科录取分数线最高的专业是计算机科学与技术560分、其次是电气工程及其自动化557分,最低的是纺织工程504分。文科最高的是法学534分,最低的是英语(英俄双语方向)517分、英语(英日双语方向)517分。

太原理工大学录取分数线_山西太原理工大学各专业录取线_太原理工大学2022年录取分数线

太原理工大学2022年在山西国家专项批各专业录取分数线

二、太原理工大学在综合改革高考省份录取分数线

在山东录取分数线最高的专业是计算机科学与技术593分,超本科线156分,其次是589分,录取最低分573分(环境工程、给排水科学与工程、城乡规划)。

山西太原理工大学各专业录取线_太原理工大学录取分数线_太原理工大学2022年录取分数线

太原理工大学2022年在综合改革省份各专业录取分数线

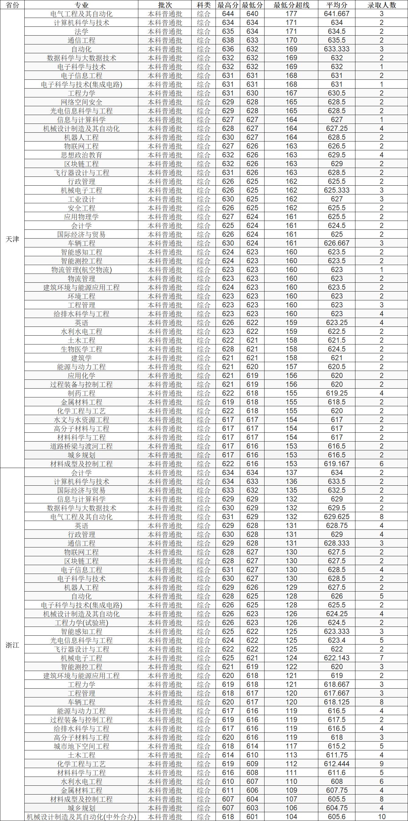
在浙江 录取分数线最高的专业是会计学634分,超本科线137分,其次是计算机科学与技术633分,录取分数线最低的是城乡规划603分。

山西太原理工大学各专业录取线_太原理工大学录取分数线_太原理工大学2022年录取分数线

太原理工大学2022年在综合 改革省份各专业录取分数线

三、在3+1+2高考改革省份录取分数线

在河北本科批物理类录取分数线最高的是电气工程及其自动化(试验班)603分、其次是计算机科学与技术(试验班)598分、计算机科学与技术597分,录取最低分565分(采矿工程、资源勘查工程(煤及煤层气工程)),历史类录取分数线为588分(国际经济与贸易、英语(英俄双语方向))。

山西太原理工大学各专业录取线_太原理工大学2022年录取分数线_太原理工大学录取分数线

太原理工大学2022年在高考改革省份各专业录取分数线

在湖南本科批物理类录取分数线最高的是电气工程及其自动化(试验班)586分、计算机科学与技术586分、人工智能581分,最低的是采矿工程(煤炭智能化)、地质工程、工程管理572分,历史类录取分数线最高的是国际经济与贸易570分、最低562分(行政管理)。

太原理工大学录取分数线_太原理工大学2022年录取分数线_山西太原理工大学各专业录取线

太原理工大学2022年在高考改革省份各专业录取分数线

在重庆物理类投档分数线最高专业是电气工程及其自动化(试验班)585分,其次是计算机科学与技术583分、法学、电子科学与技术(集成电路)580分,最低的是纺织工程534分。历史类录取分数线最高的是法学、国际经济与贸易561分,最低的是行政管理 551分。

山西太原理工大学各专业录取线_太原理工大学2022年录取分数线_太原理工大学录取分数线

太原理工大学2022年在重庆各专业录取分数线

四、在传统高考省份录取分数线

在安徽本科一批理科录取分数线最高的是电气工程及其自动化(试验班)595分、其次是电气工程及其自动化591分、电子信息工程590分,录取分数线最低的是矿物加工工程553分,超一本线62分,文科最高的专业是法学566分,最低564分(汉语国际教育、思想政治教育)。

山西太原理工大学各专业录取线_太原理工大学录取分数线_太原理工大学2022年录取分数线

太原理工大学2022年在传统高考省份各专业录取分数线

河南本科一批理科 类录取分数最高的是电气工程及其自动化(试验班)599分,其次是电气工程及其自动化593分、自动化592分,最低的是562分(环境工程),文科录取分数线最高的是法学574分,最低572分。

山西太原理工大学各专业录取线_太原理工大学录取分数线_太原理工大学2022年录取分数线

太原理工大学2022年在传统高考省份各专业录取分数线

在江西本科一批理科类录取分数线最高的专业是计算机科学与技术574分、其次是人工智能572分,录取分数线最低560分(给排水科学与工程),超一本线51分。

山西太原理工大学各专业录取线_太原理工大学录取分数线_太原理工大学2022年录取分数线

太原理工大学2022年在传统高考省份各专业录取分数线

在四川录取分数线最高的专业是计算机科学与技术610分、其次是计算机科学与技术(试验班)607分、人工智能、电子信息工程603分,理科录取最低分数线590分,文科录取最高分数线583分(会计学)、最低577分(行政管理、汉语国际教育)。

山西太原理工大学各专业录取线_太原理工大学录取分数线_太原理工大学2022年录取分数线

太原理工大学2022年在传统高考省份各专业录取分数线

五、艺术类、体育类录取分数线

太原理工大学2022年录取分数线_太原理工大学录取分数线_山西太原理工大学各专业录取线

太原理工大学2022年在各省艺术体育类各专业录取分数线

太原理工大学在四川、云南等地的录取分数线较高,电气工程及其自动化、计算机科学与及时、人工智能等专业的录取分数线较高,特别是试验班。